Mange kan ikke finde frem til det rigtige svar.
Lige nu læser andre
For mange danskere er stress og jag en del af hverdagen.
Mens vi ofte prioriterer den fysiske sundhed, glemmer vi at give hjernen den nødvendige motion. Regelmæssig hjernegymnastik er ikke bare en investering i nuet, men også i en sund alderdom.
Derfor gør du klogt i at tage dig tid til at løse en sjov gåde eller en svær ligning indimellem – og nu har du muligheden.
Herunder bliver du præsenteret for en ligning, og din opgave er ret simpel. Du skal nemlig bare finde frem til et svar.
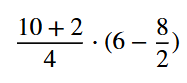
Hvad er svaret på ligningen herunder?
Læs også

Hvordan gik det?
Fandt du svaret, eller har du brug for lidt mere tid?
Ligningen er ikke ligefrem let, og ifølge mediet Top fejler de fleste internetbrugere, der støder på den.
Du får lige en sidste mulighed for at finde svaret, inden vi afslører det for dig.
(Artiklen fortsætter under billedet)

Svaret er…
Vi starter på højre side af gangetegnet og begynder med at udregne parentesen. Her ser vi først på brøken 8/2, som giver 4. Derefter trækker vi 4 fra 6, hvilket giver 2.
Læs også
Det efterlader os med ligningen: 10+2/4 * 2.
Nu skal vi finde værdien af brøken 10 + 2/4. Først lægger vi tallene i tælleren sammen (10 + 2), hvilket giver 12. Det dividerer vi med 4, og her bliver resultatet 3.
Til sidst ganger vi 3 med 2 og får det rigtige svar, som er… 6.
Fandt du frem til det rigtige resultat?